This post is part of a series where Joel Tosi and I write about the course we are developing titled “The Thinking Leader’s Toolkit”.
This week we are talking about a concept that appears at the very beginning of the course: choice and strategy.
You make decisions every day. Each time you make a decision, you select from among the choices available to you. Maybe you are on a project that is falling behind and you have to decide when to alert the stakeholders. Or perhaps your organization is either growing or shrinking, and you need to choose a new team structure. Or maybe there is a new initiative kicking off and you need to make decisions about the tech stack.
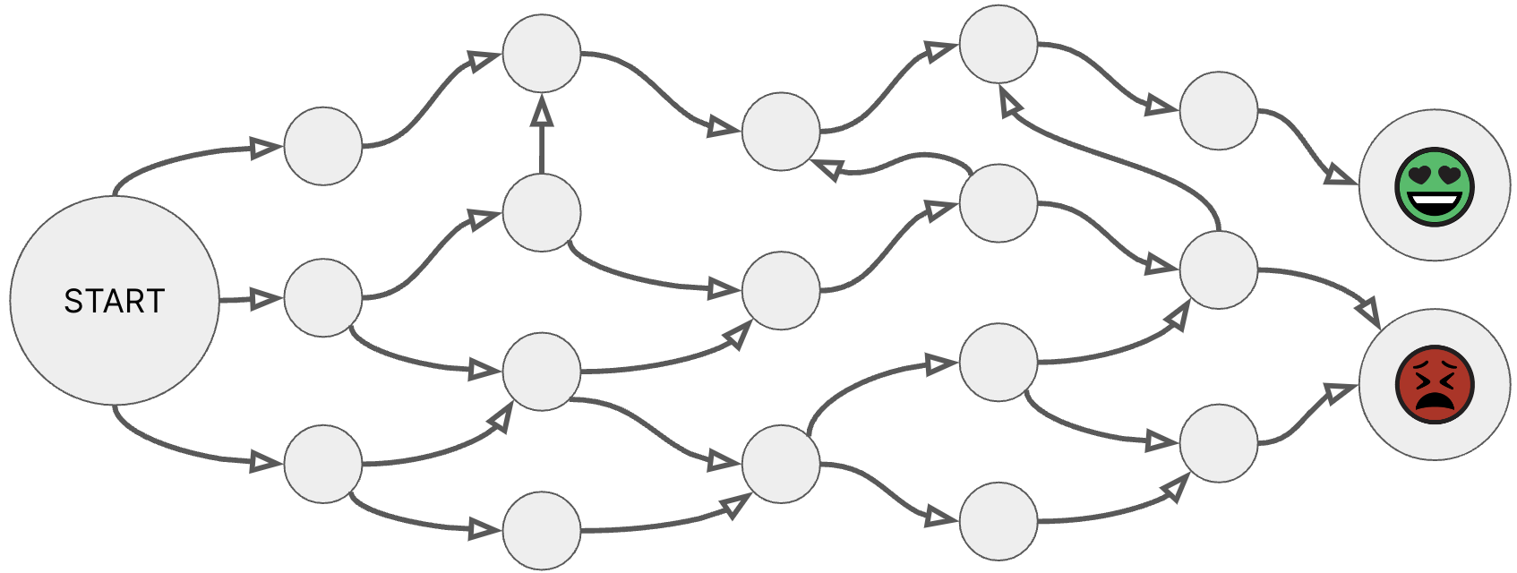
Whatever kinds of decisions you make, you can imagine the choices in front of you like a game board.

With each step you take, you find yourself in a new situation. Your context changed. You now have a different set of choices to make.
What if you only see one viable option? Then you don’t really have a choice. There’s only one path forward. Chutes and Ladders is a classic board game where you roll a die, move your pawn, and do what the board tells you to do. If you land on a ladder space, you take the shortcut and go up. If you land on a slide space, you slide back down. Your move is dictated by the die and the board; you don’t have any choice.
This simple game can teach us something profound about strategy. Think about it for a moment: what’s a winning Chutes and Ladders strategy?
Trick question, right? That’s the point.
It turns out strategy requires choice. Or, put another way: in the absence of choice, there can be no strategy.
This is why one of the most important and foundational thinking tools is choice. More specifically, learning to:
- See all your options, not just the most obvious ones. That includes seeing past your assumptions (or maybe fears) to find choices you might otherwise not see.
- Avoid prematurely committing to a path. That includes finding ways to test before committing, and identifying when a given choice is reversible (rather than a one-way door).
- Make choices that increase your future choices (rather than boxing you into a corner).
This last point deserves a deeper dive, so let’s dig in.
If you make choices early on that limit your future choices, you can wind up in a situation where at each step you’re railroaded to the next. It’s the grownup’s version of Chutes and Ladders.

For example if you start work on a greenfield project that has a tight deadline, you might decide to cut corners. Racking up too much technical debt early on can severely limit the choices you have available to you later. You’ll be too busy slogging through messy, buggy, copy-pasted code.
But on the flip side if you create the perfect future-proof architecture, you might end up in an equally untenable situation with a bloated and overly complex code base that ironically also limits your future choices.
Making choices that increase your future choices isn’t about retaining optionality at all costs. It’s about finding the right mix of preserving optionality, avoiding one-way doors, testing possibilities, and pruning your decision tree so you can stop spending time analyzing possibilities that won’t lead anywhere.
One of our goals for this course is to help you find that balance. By presenting an entire toolkit of thinking tools, this course can help you see the options you do have, and avoid the dead-end paths.